案例分类:全程申请 |
录取学生:这位同学 |
录取专业: |
录取时间:2015-1 |
学习阶段:读本 |
奖学金: |
申请人语言成绩:6 |
申请人GPA:92 |
申请人毕业院校: |
申请人所学专业: |
申请人简介:已经大学在读。对数学专业非常的喜欢,而且高考数学单项129分的高分。在暑假的时候考取了雅思6分,这给申请名校奠定了很好的基础。 |
摘要:已经大学在读。对数学专业非常的喜欢,而且高考数学单项129分的高分。在暑假的时候考取了雅思6分,这给申请名校奠定了很好的基础。 |
录取院校:
案例描述:
这个家庭来咨询的时候问题非常的多。对学校和专业进行了很详细的记录,而且学生自己也在学校官网查询了很多。但是对学校申请还是心中没有把握。问的最多的问题就是。我能够申请到吗?通常需要做怎样的准备?我的大学成绩怎么办。
这些问题也是被经常问起的。这里我针对性的挨个都说说吧。
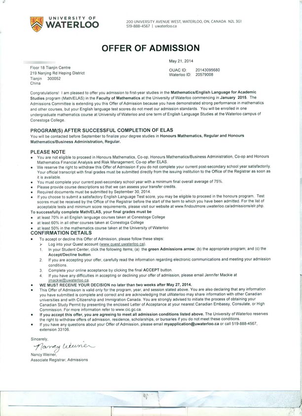
1、滑铁卢大学对申请者的要求
a、高中平均分92分以上,尤其是数学。
b、尽可能参加学校组织的欧几里得数学考试。可在新东方前途进行报名。
c、尽可能多的数学竞赛的过奖证书,或者是经历。这个很重要。
d、这是我最后提起的,也相对不是最最重要的。雅思成绩。申请的时候基本需要5.5的成绩。这个成绩是可以后来补充的。
2、准备工作通常近一年的准备。也就是高二下半学期就开始准备。成绩单和在读证明需要在就读学校开好。
3、往往在准备的时候学生和家长都会忽略必要的软文,或者相应的课程描述。比如滑铁卢大学就需要提供高中阶段数学课程的课程描述。这个也是申请递交材料的必须部分。
4、如果已经是在读大一的学生。其实是比较可惜的。因为,大学的课程内容课程,(如:军训、体育、基础英语、毛泽东概论)很多这些课程,国外是不认可学分的。这也就意味着。可能要从大一从新开始读气。
回到上面说道的同学。最后还是选择的阿尔伯塔大学。这个大学的排名比滑铁卢高。学校很好。而且大学的成绩给转了21个学分。这是非常好的结果。唯一不太好的地方就是相对冷。有些哈尔滨特点。但是毕竟是短期的学习生活。希望他一些顺利。
缩略图:

想了解更多留学最新动态,您可以点击
天津前途出国
了解详情;或者拨打新东方前途出国留学热线23170071
更多热点资讯欢迎关注:
新浪官方微博:@新东方前途出国留学 http://e.weibo.com/tjqtcg
官方微信:新东方前途出国 微信帐号:tianjinxdfqt